开发新型耐事故容错燃料(ATF)包壳材料,替代现役的锆合金,是提高核反应堆安全性能的关键。近日,王安定研究员团队开发了一种多尺度双相强化的FeCrNiAl系中熵合金,并以题为“Rational design and multi-stage formation mechanisms of FeCrNiAl medium-entropy alloy strengthened by multi-scaled dual phases”发表在Materials Characterization杂志上。团队博士后温冬辉为论文第一作者,永利集团为第一完成单位。
核电是我国重点发展的清洁能源,安全性成为了制约其发展的关键因素。开发既可以在常规工况、又可以在失水环境下服役的ATF包壳材料,是解决核电安全问题的有效途径。ATF 包壳材料必须在290-1200°C 超宽温度范围内保持优异的力学性能,还要兼具超强的组织稳定性、抗高温氧化、耐腐蚀、低中子吸收率和良好的加工性能,这都给材料的成分设计和加工工艺选择提出了极高的要求。
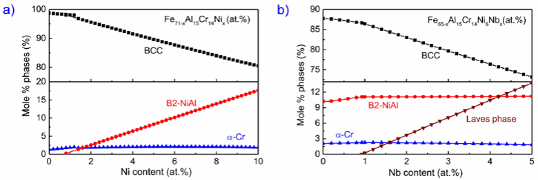
团队基于前期在包壳材料开发方面的经验,采用热力学计算和实验相结合的方法,设计了Laves 相和B2 相与BCC 基体复合的新结构,开发了双相强化新合金,以充分结合Laves相在1000-1200°C下提高合金组织稳定性、B2在600°C以上提高合金高温力学性能的优势,从而开发有望满足ATF 包壳材料综合性能需求的新合金。


本工作受广东省基础与应用基础研究项目(No. 2019A1515110051)、国家自然科学基金(52201175, 11832019)和国家自然科学基金原创探索计划(12150001)支持。
原文链接https://doi.org/10.1016/j.matchar.2022.112430
(初稿:温冬辉,一审:李润霞,二审:杨壮鹏, 三审:君光)